शानक्सी ब्लूम टेक कंपनी लिमिटेड चीन में एरियोक्रोम ब्लैक कैस 1787-61-7 के सबसे अनुभवी निर्माताओं और आपूर्तिकर्ताओं में से एक है। हमारे कारखाने से यहां बिक्री के लिए थोक में उच्च गुणवत्ता वाले एरियोक्रोम ब्लैक कैस 1787-61-7 में आपका स्वागत है। अच्छी सेवा और उचित मूल्य उपलब्ध हैं.
एरियोक्रोम ब्लैक टीआणविक सूत्र C20H12N3NaO7S, CAS 1787-61-7 वाला एक कार्बनिक यौगिक है। यह एक काला पाउडर है, पानी में घुलनशील है, और बेर लाल से ऊअर लाल है; अल्कोहल और भूरे मैजेंटा में थोड़ा घुलनशील; एसीटोन में थोड़ा घुलनशील. सांद्र सल्फ्यूरिक एसिड में गहरा नीला, तनुकरण के बाद हल्का लाल भूरा; सांद्र नाइट्रिक अम्ल में इसका रंग नारंगी पीला होता है। इसके जलीय घोल और सांद्र हाइड्रोक्लोरिक एसिड में कोई महत्वपूर्ण परिवर्तन नहीं होता है; भूरा और मैजेंटा रंग पाने के लिए सांद्र सोडियम हाइड्रॉक्साइड घोल मिलाएं। पानी में घुलनशीलता (90 डिग्री) 25 ग्राम/लीटर है। तांबे और लोहे से रंगाई करते समय रंग की रोशनी का बहुत प्रभाव पड़ता है। इसका उपयोग मुख्य रूप से ऊनी वस्त्रों की रंगाई और छपाई के साथ-साथ रेशम, नायलॉन और अन्य वस्त्रों और फर रंगाई के लिए किया जाता है। शुद्ध उत्पाद को संकेतक के रूप में इस्तेमाल किया जा सकता है। इसका उपयोग ईडीटीए कॉम्प्लेक्सोमेट्रिक अनुमापन द्वारा बीए 2+, एमजी 2+, एमएन {{16 }}, जेएन 2+ और दुर्लभ पृथ्वी के निर्धारण के लिए धातु संकेतक के रूप में किया जाता है। इसका उपयोग धातु आयनों जैसे कि सह 2+, एमजी 2+, आदि के फोटोमेट्रिक निर्धारण के लिए एक डेवलपर के रूप में भी किया जाता है।

|
रासायनिक सूत्र |
C20H13N3NaO7S |
|
सटीक द्रव्यमान |
462 |
|
आणविक वजन |
462 |
|
m/z |
462 (100.0%), 463 (21.6%), 464 (4.5%), 464 |
|
मूल विश्लेषण |
सी, 51.95; एच, 2.83; एन, 9.09; ना, 4.97; ओ, 24.22; एस, 6.93 |
|
|
|
25 डिग्री सेल्सियस पर घनत्व 1.109 ग्राम/एमएल, फ्लैश प्वाइंट 185 डिग्री सेल्सियस, भंडारण की स्थिति कमरे का तापमान, घुलनशीलता 50 ग्राम/लीटर, रंग सूचकांक 14645, अम्लता गुणांक (पीकेए) पीके1:6.3; pK2:11.55 (25 डिग्री), फॉर्म पाउडर/ठोस, रंग भूरा काला से काला, विशिष्ट गुरुत्व 1.109, गंध रहित, पीएच मान 3.7 (10 ग्राम/लीटर, एच2ओ, 20 डिग्री), पानी में घुलनशीलता 50 ग्राम/लीटर (20 डिग्री सेल्सियस), मर्क 14,3667, बीआरएन 4121162, मजबूत ऑक्सीकरण के साथ स्थिर असंगत एजेंट, मजबूत कम करने वाले एजेंट।

एरियोक्रोम ब्लैक टीइंडिकेटर, जिसे मॉर्डेंट ब्लैक 11 के नाम से भी जाना जाता है, इलेक्ट्रोलेस क्रोम ब्लैक टी इंडिकेटर के रूप में भी जाना जाता है, और इसका वैज्ञानिक नाम 1- (1-हाइड्रॉक्सी-2-नेफ्थिलाज़ो) - 6-नाइट्रो-2-नेफ्थॉल-4-सल्फोनिक एसिड सोडियम नमक है। यह बेरियम, कैडमियम, इंडियम, मैग्नीशियम, मैंगनीज, कैल्शियम, सीसा, स्कैंडियम, स्ट्रोंटियम, जस्ता, ज़िरकोनियम, आदि के निर्धारण के लिए एक व्यापक संकेतक है। क्रोम ब्लैक टी संकेतक का उपयोग पानी के नमूनों की कुल कठोरता (कुल कैल्शियम और मैग्नीशियम आयन) का निर्धारण करते समय एक संकेतक के रूप में भी किया जाता है। पीने के पानी के लिए स्वच्छता मानक 2001 के अनुसार क्रोम ब्लैक टी इंडिकेटर तैयार करते समय, हमने पाया कि 9.1.3.6 में, क्रोम ब्लैक टी इंडिकेटर को भंग करने और इसे 100 मिलीलीटर तक पतला करने के लिए केवल 95% इथेनॉल का उपयोग किया गया था। परिणामी संकेतक को पानी के नमूने और शुद्ध पानी द्वारा सत्यापित किया गया था। घोल गहरा बैंगनी लाल था, और अनुमापन अंत बिंदु के रंग में कोई बदलाव नहीं हुआ था।
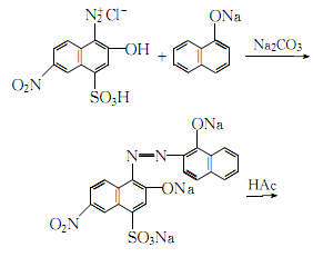
सिंथेटिक क्रोम ब्लैक टी:
1. उत्पाद 6-{5-नाइट्रो--10-1,2,4--17-ऑक्सी-एसिड (यानी 7-नाइट्रो-2-हाइड्रॉक्सी-1-डायज़ो-नेफ़थलीन-4-सल्फोनिक एसिड) को 1-नेफ़थॉल के साथ जोड़कर, नमकीन बनाना, फ़िल्टर करना, सुखाना और अन्य शिस्टोसिस प्रक्रियाओं द्वारा तैयार किया जाता है। उत्पाद की बाहरी हवा काली भूरी एकसमान पाउडर है, रंग प्रकाश मानक के समान है (नीला हल्का ग्रे → नीला हल्का काला), ताकत मानक के 100 ± 3 (मिनट) है, नमी की मात्रा 5% से कम या उसके बराबर है, पानी में अघुलनशील अशुद्धियों की सामग्री 1% से कम या उसके बराबर है, और सुंदरता (80 जाल छलनी से गुजरने वाले अवशेषों की सामग्री) 5% से कम या उसके बराबर है, रंगाई ऊन पर स्थिरता मानक को पूरा करती है (सूरज की स्थिरता ग्रेड 7 है, साबुन लगाने, पानी में डूबने, पसीना, उबलने, कार्बोनाइजेशन, इस्त्री, ड्राई क्लीनिंग इत्यादि के लिए भूरे रंग की स्थिरता ग्रेड 4-5 है, और सूखी रगड़ने की स्थिरता ग्रेड 3-4 है)। कच्चे माल की खपत (किग्रा/टी) 6-नाइट्रो-1,2,4-ऑक्सोमेथोएट (100%) 500 मिथाइलनैफ्थॉल (100%) 255 कास्टिक सोडा (100%) 255 सोडा (औद्योगिक) 215 हाइड्रोक्लोरिक एसिड (31%) 675 परिष्कृत नमक 450।
2. पानी में 1-अमीनो-2-नेफ्थॉल-4-सल्फोनिक एसिड घोलें, पीएच मान को 3 पर नियंत्रित करें, डायज़ोटाइजेशन के लिए क्रिस्टलीय कॉपर सल्फेट का संतृप्त घोल और 31% सोडियम नाइट्राइट घोल मिलाएं, प्रतिक्रिया के बाद फ़िल्टर करें, और पीले डायज़ोनियम नमक को अलग करने के लिए फ़िल्टर में हाइड्रोक्लोरिक एसिड जोड़ें:

तैयार डायज़ोनियम नमक को सांद्र सल्फ्यूरिक एसिड के साथ घोला जाता है और नाइट्रेशन के लिए मिश्रित एसिड मिलाया जाता है। तापमान को 10 डिग्री से नीचे नियंत्रित किया जाता है:

नाइट्रीकरण के बाद, प्रतिक्रिया समाधान को बर्फ के पानी में डालें, और छानने के बाद संतृप्त नमक के पानी से अवक्षेप को धो लें जब तक कि यह योग्य न हो जाए। फिर नाइट्रेटेड उत्पाद में पहले से तैयार 1-नेफ्थॉल सोडियम घोल मिलाएं, 5 ~ 6 घंटे तक हिलाएं, और इसे 20 घंटे तक खड़े रहने दें, फिर सीधे भाप को 90 डिग्री तक इंजेक्ट करें, और फिर न्यूट्रलाइजेशन प्रतिक्रिया के लिए एसिटिक एसिड मिलाएं:

प्रतिक्रिया के बाद, क्रिस्टलीकरण को प्राकृतिक रूप से ठंडा किया जाता है, आसुत जल से धोया जाता है और सुखाया जाता है।


एरियोक्रोम ब्लैक टी(ईबीटी), एक क्लासिक एज़ो कार्बनिक यौगिक के रूप में, अपने अद्वितीय रासायनिक गुणों और व्यापक प्रयोज्यता के कारण विश्लेषणात्मक रसायन विज्ञान, कपड़ा उद्योग, पर्यावरण निगरानी और अन्य क्षेत्रों में एक अपूरणीय भूमिका निभाता है। इसका आणविक सूत्र C20H12N3NaO7S है, जिसका आणविक भार 461.38 है। यह भूरे काले पाउडर के रूप में दिखाई देता है, पानी और इथेनॉल में आसानी से घुलनशील और एसीटोन में थोड़ा घुलनशील होता है।
सबसे प्रसिद्ध {{0}उपयोग एक धातु संकेतक के रूप में है, विशेष रूप से एथिलीनडायमिनेटेट्राएसिटिक एसिड (ईडीटीए) कॉम्प्लेक्सोमेट्रिक अनुमापन विधि में, जो रंग परिवर्तन के माध्यम से अनुमापन समापन बिंदु को इंगित करता है और विभिन्न धातु आयनों का पता लगाने के लिए एक "सटीक शासक" बन जाता है।
1. जल गुणवत्ता कठोरता का निर्धारण: पीने के पानी से लेकर औद्योगिक परिसंचारी जल तक "जल गुणवत्ता संरक्षक"।
पानी की गुणवत्ता की कठोरता (कैल्शियम और मैग्नीशियम आयनों की कुल मात्रा) पानी की गुणवत्ता को मापने के लिए एक महत्वपूर्ण संकेतक है। पीएच 8-10 वाले बफर समाधान में, यह नीला दिखाई देता है और कैल्शियम और मैग्नीशियम आयनों के साथ एक लाल कॉम्प्लेक्स बनाता है। जब EDTA को अंतिम बिंदु पर शीर्षक दिया जाता है, तो धातु आयन पूरी तरह से जटिल हो जाते हैं, और समाधान तेज रंग परिवर्तन के साथ लाल से नीले रंग में बदल जाता है, और त्रुटि को ± 0.1% के भीतर नियंत्रित किया जा सकता है।
उदाहरण के लिए, पीने के पानी के परीक्षण में, 0.1% क्रोमियम ब्लैक टी - 20% एनएच ∝ - एनएच ₄ सीएल पॉलीथीन ग्लाइकोल प्रणाली का उपयोग किया जाता है, और 510 एनएम की तरंग दैर्ध्य पर कैल्शियम निर्धारण के लिए रैखिक प्रतिगमन समीकरण ए {{4} सी {{5 }} (सहसंबंध गुणांक आर =0.99945) है, जो 0-10 μ ग्राम / एमएल की कैल्शियम एकाग्रता सीमा पर लागू होता है।
औद्योगिक परिसंचारी जल की कठोरता की निगरानी भी एक महत्वपूर्ण भूमिका निभाती है। उदाहरण के लिए, एक निश्चित रासायनिक संयंत्र में परिसंचारी पानी की कठोरता प्रबंधन के लिए बेंचमार्क मान 500mg/L है। EDTA (3.7-7.5%), बोरेक्स (0.45-0.48%), और क्रोम ब्लैक टी (0.05-0.2%) युक्त संकेतक तैयार करके, 100 एमएल पानी का नमूना लिया जा सकता है और 10 एमएल संकेतक जोड़ा जा सकता है ताकि यह तुरंत निर्धारित किया जा सके कि यह मानक से अधिक है या नहीं। ऑपरेशन सरल है और परिणाम विश्वसनीय हैं.
2. विशिष्ट धातु आयन का पता लगाना: ट्रेस तत्वों से भारी धातुओं तक लक्षित विश्लेषण
न केवल कैल्शियम और मैग्नीशियम का पता लगाने के लिए उपयुक्त है, बल्कि स्पेक्ट्रोफोटोमेट्री के माध्यम से कोबाल्ट और निकल जैसे ट्रेस तत्वों का निर्धारण करने के लिए भी उपयुक्त है। उदाहरण के लिए, पेय पदार्थों में ट्रेस निकल का पता लगाने में, निकल आयनों के साथ स्थिर परिसरों का निर्माण होता है, और 540nm तरंग दैर्ध्य पर अवशोषण निकल एकाग्रता के साथ एक रैखिक संबंध दिखाता है, जिसकी पहचान सीमा 0.01mg/L जितनी कम होती है। कैडमियम, सीसा और क्रोमियम ब्लैक टी जैसे भारी धातु आयनों के लिए, वे उच्च संवेदनशीलता भी प्रदर्शित करते हैं। पीएच 9-10 स्थितियों के तहत, कॉम्प्लेक्स की दाढ़ अवशोषण क्षमता 10 ⁴ एल/(मोल · सेमी) के क्रम तक पहुंच सकती है।
हालाँकि, क्रोम ब्लैक टी "मास्टर कुंजी" नहीं है। इसके और Fe ³ ⁺, Al ³ ⁺, Cu ² ⁺, Co ² ⁺, Ni ² ⁺ के बीच बना कॉम्प्लेक्स बहुत स्थिर है, जिससे EDTA संकेतक को बदलने में असमर्थ हो जाता है और परिणामस्वरूप "अवरुद्ध घटना" होती है। उदाहरण के लिए, मैग्नीशियम आयन अनुमापन में, यदि नमूने में Fe ³ ⁺ अशुद्धियाँ हैं, तो समापन बिंदु रंग परिवर्तन में देरी होगी या धुंधला हो जाएगा। इसलिए, व्यावहारिक अनुप्रयोगों में, पूर्व-प्रसंस्करण (जैसे मास्किंग एजेंट पोटेशियम साइनाइड जोड़ना) के माध्यम से हस्तक्षेप को समाप्त करने की आवश्यकता है।
क्रोम ब्लैक टी की एज़ो संरचना इसे उत्कृष्ट रंगाई गुणों से संपन्न करती है। ऊन, रेशम और नायलॉन जैसे वस्त्रों की रंगाई में, यह न केवल एक "रंग जादूगर" है, बल्कि इसे रासायनिक संशोधन के माध्यम से भी कार्यान्वित किया जा सकता है।
1. पारंपरिक रंगाई प्रक्रिया: ऊन और नायलॉन के लिए "विशेष रंग कार्ड"।
एरियोक्रोम ब्लैक टीऊन के रेशों के प्रति उच्च आकर्षण है और अम्लीय परिस्थितियों (पीएच 4-6) के तहत 4-5 स्तर (अंतर्राष्ट्रीय मानक) की रंग स्थिरता के साथ गहरे रंग के कॉम्प्लेक्स उत्पन्न कर सकता है। उदाहरण के लिए, ऑस्ट्रेलियाई मेरिनो ऊन की रंगाई में, क्रोमियम ब्लैक टी को सोडियम सल्फेट के साथ मिलाया जाता है और एक समान काला रंग प्राप्त करने के लिए 60 मिनट के लिए 90 डिग्री पर उपचारित किया जाता है। धोने के बाद रंग की स्थिरता 5 बार धोने के बाद 90% से ऊपर रहती है।
नायलॉन फाइबर के लिए, क्रोम ब्लैक टी को फाइबर पर अमीनो समूहों के साथ बांधकर रंगाई प्राप्त करने के लिए क्षारीय परिस्थितियों (पीएच 8-9) के तहत उपयोग करने की आवश्यकता होती है।
जापानी कंपनी टोरे द्वारा विकसित "इको डाई" प्रक्रिया 120 डिग्री पर रंगाई के लिए क्रोम ब्लैक टी और साइट्रिक एसिड के संयोजन का उपयोग करती है। यह न केवल 3-4 स्तरों की रंग स्थिरता प्राप्त करता है, बल्कि यह अपशिष्ट जल के सीओडी मूल्य को 40% तक कम कर देता है, जो पर्यावरण संरक्षण आवश्यकताओं को पूरा करता है।
2. कार्यात्मक संशोधन: जीवाणुरोधी से बुद्धिमान प्रतिक्रिया तक "अत्याधुनिक अन्वेषण"।
हाल के वर्षों में, क्रोम ब्लैक टी का उपयोग कार्यात्मक वस्त्र तैयार करने के लिए किया गया है। उदाहरण के लिए, क्रोम ब्लैक टी को सिल्वर आयन के साथ मिलाकर जीवाणुरोधी ऊनी कपड़े तैयार किए जा सकते हैं। प्रयोग से पता चला कि ऊनी कपड़े में 0.5% क्रोमियम ब्लैक टी - सिल्वर होता है, जिसमें एस्चेरिचिया कोली के खिलाफ 99% जीवाणुरोधी दर होती है, और 50 बार धोने के बाद 90% से ऊपर रहती है। इसके अलावा, क्रोम ब्लैक टी का उपयोग फोटोक्रोमिक सामग्रियों की तैयारी के लिए भी किया जा सकता है। स्पिरोपाइरन यौगिकों के साथ कोपोलिमराइजिंग करके, बुद्धिमान वस्त्र विकसित किए जा सकते हैं जो पराबैंगनी प्रकाश के तहत नीले से लाल में बदल जाते हैं, जिनका उपयोग नकली विरोधी लेबल और फैशन डिजाइन के लिए किया जा सकता है।
क्रोमियम ब्लैक टी की रासायनिक स्थिरता और चेलेटिंग क्षमता इसे सामग्री विज्ञान में विशिष्ट रूप से मूल्यवान बनाती है, विशेष रूप से धातु पृथक्करण का पता लगाने और इलेक्ट्रोकेमिकल सेंसर के क्षेत्र में।
1. कॉपर मैग्नीशियम मिश्र धातुओं का पृथक्करण पता लगाना: औद्योगिक गुणवत्ता निरीक्षण की "सुनहरी आँख"।
एयरोस्पेस क्षेत्र में, कॉपर मैग्नीशियम मिश्र धातुओं में मैग्नीशियम पृथक्करण से असमान भौतिक गुण हो सकते हैं। पारंपरिक पता लगाने के तरीके, जैसे वर्णक्रमीय विश्लेषण, महंगे और समय लेने वाले हैं, जबकि क्रोमियम ब्लैक टी क्षारीय समाधान तेजी से दृश्य पहचान प्राप्त कर सकता है। विशिष्ट संचालन: क्रोमियम ब्लैक टी युक्त क्षारीय घोल को फिल्टर पेपर में भिगोएँ, इसे मिश्र धातु की सतह के चारों ओर लपेटें, और संकेतक के साथ प्रतिक्रिया करके बैंगनी लाल कॉम्प्लेक्स बनाएं। पृथक्करण क्षेत्र की रंग गहराई मैग्नीशियम सामग्री के समानुपाती होती है।
इस तकनीक को लागू करने के बाद, एक निश्चित विमानन उद्यम ने पता लगाने का समय 2 घंटे से घटाकर 10 मिनट कर दिया और लागत 70% कम कर दी।
2. इलेक्ट्रोकेमिकल सेंसर: नाइट्राइट से डोपामाइन तक संवेदनशील एंटीना
इलेक्ट्रोड को रासायनिक रूप से संशोधित करके इलेक्ट्रोकेमिकल सेंसर के प्रदर्शन में सुधार किया जा सकता है। उदाहरण के लिए, क्रोमियम ब्लैक टी को पॉलीइथाइलीन ग्लाइकोल के साथ मिलाकर और इसे ग्लासी कार्बन इलेक्ट्रोड की सतह पर संशोधित करके, नाइट्राइट का पता लगाया जा सकता है। 0.1एम फॉस्फेट बफर समाधान (पीएच 7) में, नाइट्राइट ऑक्सीकरण की चरम धारा 0.1-10 μM की सीमा में एकाग्रता के साथ एक रैखिक संबंध दिखाती है, जिसकी पहचान सीमा 0.03 μM जितनी कम होती है। इसके अलावा, इसका उपयोग डोपामाइन का पता लगाने के लिए भी किया जा सकता है। चिटोसन के साथ मिश्रित होने से, संशोधित इलेक्ट्रोड का डोपामाइन के प्रति प्रतिक्रिया समय 5 सेकंड तक कम हो जाता है, और चयनात्मकता एस्कॉर्बिक एसिड और यूरिक एसिड की तुलना में बेहतर होती है।
इसकी पर्यावरण मित्रता और जैव-अनुकूलता इसे पर्यावरण निगरानी और जैव रसायन के क्षेत्र में लागू करती है, हालांकि इसकी जलीय विषाक्तता (तीव्र जलीय विषाक्तता श्रेणी 2) पर ध्यान दिया जाना चाहिए।
1. पर्यावरण जल प्रदूषण चेतावनी: भारी धातुओं का "प्रारंभिक प्रहरी"।
जल निकायों में भारी धातु प्रदूषण की त्वरित जांच के लिए इसका उपयोग किया जा सकता है। उदाहरण के लिए, नदी तलछट का पता लगाने में, क्रोमियम ब्लैक टी - EDTA प्रणाली का उपयोग वर्णमिति विधि द्वारा जिंक आयन सांद्रता निर्धारित करने के लिए किया जाता है, जिसकी रैखिक सीमा 0.1-10 मिलीग्राम/एल और पुनर्प्राप्ति दर 95-102% होती है। निकल प्रदूषण के लिए, डाइमिथाइलग्लॉक्सिम के साथ संयोजन से चयनात्मकता में सुधार हो सकता है और तांबे और लोहे के हस्तक्षेप से बचा जा सकता है।
2. जैव रासायनिक विश्लेषण: प्रोटीन निर्धारण के लिए एक उभरता हुआ उपकरण
प्रोटीन निर्धारित करने के लिए अनुनाद प्रकाश प्रकीर्णन जांच के रूप में उपयोग किया जा सकता है। पीएच 2.5 पर ब्रिटन रॉबिन्सन बफर समाधान में, प्रोटीन इलेक्ट्रोस्टैटिक इंटरैक्शन के माध्यम से पदार्थ के साथ कॉम्प्लेक्स बनाते हैं, जिसके परिणामस्वरूप 550 एनएम पर प्रकाश बिखरने की तीव्रता में उल्लेखनीय वृद्धि होती है और पता लगाने की सीमा 0.05 μ ग्राम/एमएल जितनी कम होती है। यह विधि संचालित करना आसान है और सीरम और मूत्र जैसे जैविक नमूनों के लिए उपयुक्त है।
प्रयोगशाला में अनुमापन विश्लेषण से लेकर कपड़ा कारखानों में रंगाई प्रक्रियाओं तक, मिश्र धातु कार्यशालाओं में अलगाव का पता लगाने से लेकर पर्यावरण निगरानी स्टेशनों में पानी की गुणवत्ता की जांच तक, यह अपने अद्वितीय रासायनिक गुणों और व्यापक प्रयोज्यता के साथ बुनियादी अनुसंधान और औद्योगिक अनुप्रयोगों को जोड़ने वाला एक "पुल" बन गया है। भविष्य में, पदार्थ विज्ञान और हरित रसायन विज्ञान की प्रगति के साथ,एरियोक्रोम ब्लैक टीनिस्संदेह अधिक क्षेत्रों में अपने "बहुमुखी" आकर्षण का प्रदर्शन करेगा और मानव समाज के सतत विकास में योगदान देगा।
लोकप्रिय टैग: एरियोक्रोम ब्लैक कैस 1787-61-7, आपूर्तिकर्ता, निर्माता, कारखाना, थोक, खरीद, मूल्य, थोक, बिक्री के लिए







